Benchmarks
This page presents benchmark results comparing sparqlite against two popular Python SPARQL clients: rdflib and SPARQLWrapper.
Methodology
Section titled “Methodology”Test environment:
- Virtuoso SPARQL endpoint running in Docker (4GB memory)
- Python 3.12+
- 11 runs per test (first run is warmup, discarded)
- 50 iterations per query type
- 1,000 test entities with properties and relationships
Query types tested:
- SELECT: simple triple pattern, filtered, with OPTIONAL, multi-pattern join
- ASK: existence check, non-existence check
- CONSTRUCT: simple graph construction
- DESCRIBE: entity description
- UPDATE: INSERT DATA, DELETE DATA, DELETE/INSERT with WHERE
Results
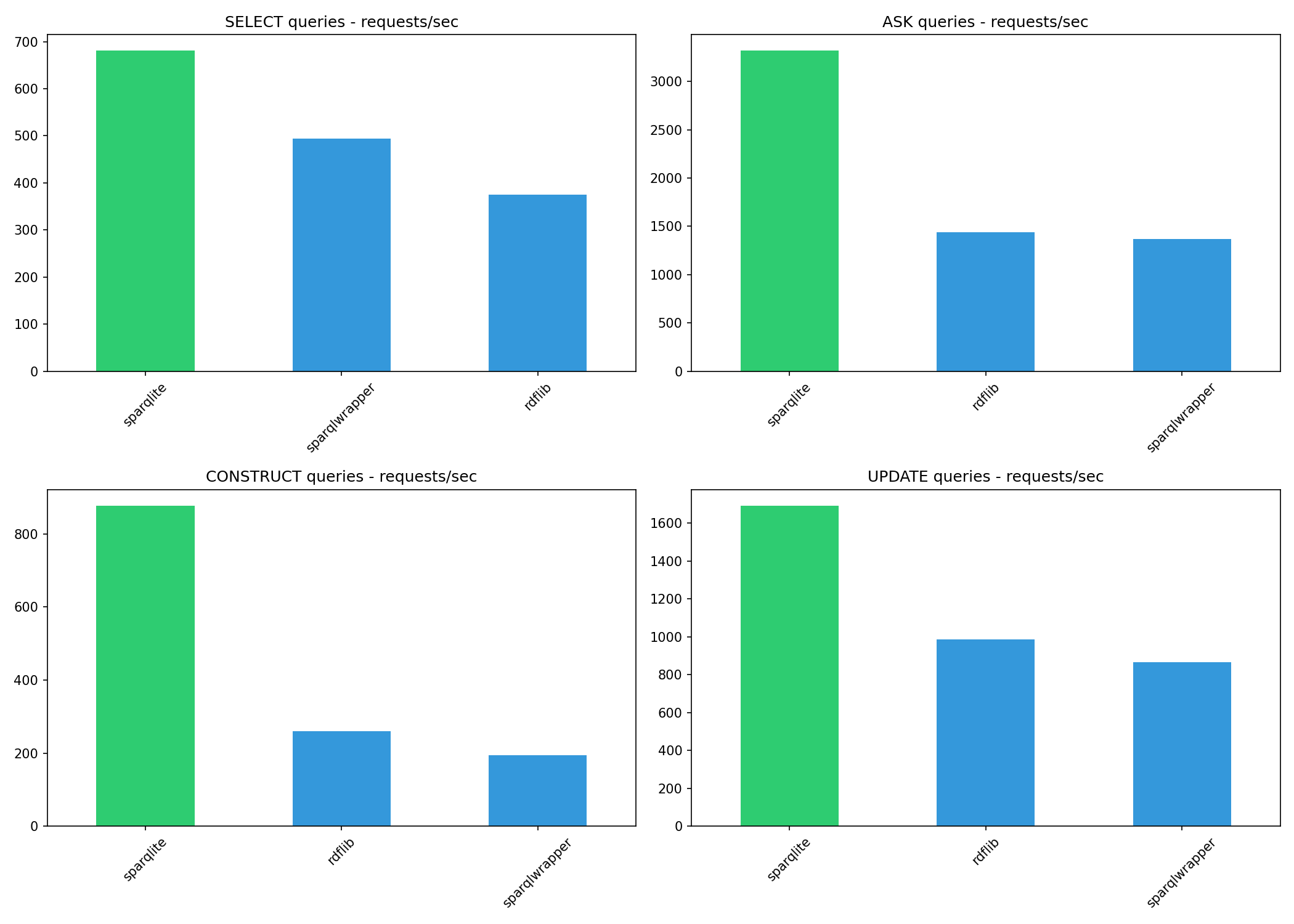
Section titled “Results”By operation type
Section titled “By operation type”| Operation | sparqlite | rdflib | SPARQLWrapper |
|---|---|---|---|
| SELECT | ~680 req/s | ~380 req/s | ~490 req/s |
| ASK | ~3,300 req/s | ~1,450 req/s | ~1,300 req/s |
| CONSTRUCT | ~880 req/s | ~260 req/s | ~200 req/s |
| UPDATE | ~1,700 req/s | ~980 req/s | ~880 req/s |

By query type
Section titled “By query type”The following chart shows requests per second for each specific query type with 95% confidence intervals:

Key findings
Section titled “Key findings”- CONSTRUCT queries: sparqlite is 3-4x faster than alternatives
- ASK queries: sparqlite is 2-2.5x faster than alternatives
- UPDATE operations: sparqlite achieves ~2x the throughput of competitors
- SELECT queries: sparqlite is 1.4-1.8x faster than rdflib and SPARQLWrapper
Performance factors
Section titled “Performance factors”Several architectural differences explain sparqlite’s performance advantage:
| Feature | sparqlite | rdflib | SPARQLWrapper |
|---|---|---|---|
| HTTP backend | pycurl | urllib | urllib |
| Connection pooling | yes | no | no |
| Explicit connection close | yes | no | no |
| Query parsing | none | full SPARQL parser | regex |
- HTTP backend: sparqlite uses pycurl, which is 2x faster than urllib used by rdflib and SPARQLWrapper. See Why pycurl? for detailed HTTP library benchmarks
- Connection management: sparqlite supports connection pooling to reuse HTTP connections and avoid repeated TLS handshakes. It also allows explicit connection cleanup via
close(), while rdflib and SPARQLWrapper rely on the garbage collector to release connections - No query parsing: sparqlite uses dedicated methods (
query(),ask(),construct(),describe(),update()) so it does not need to parse queries to detect their type. SPARQLWrapper parses every query with regex to identify the query form, while rdflib uses a full SPARQL grammar parser